Skip to content
UpWeld
Menu
Menu
Welding Course
Free AWS CWI Part A Practice Test
Free AWS CWI Part C Practice Tests
Take A Free API 510 Exam Practice Test – Quiz Course
Free API 570 Practice Test
Free ISO IEC 17025 2017 Practice Test
Free CSWIP 3.1 Practice Test
Free BGAS Grade 2 Practice Test
DISCLAIMER
Privacy Policy
Terms and Conditions
About Us
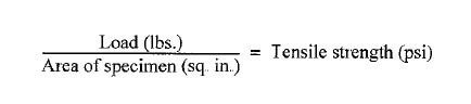
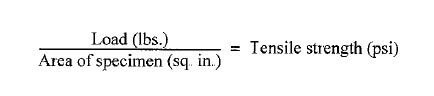
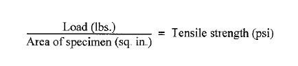
Q.221
Leave a Comment
Cancel reply
Comment
Name
Email
Website